(1.乌鲁木齐职业大学经贸学院,新疆乌鲁木齐830002;
2.新疆大学经济与管理学院,新疆乌鲁木齐830047)
内容提要: 中国与中亚在地缘、人文、交通管道等多方面有良好的合作基础,近年来又通过“上海合作组织”进一步密切了区域合作关系,该地区有条件成为中国未来油气资源进口的重要战略后备来源,应该成为我国能源外交的重点地区。本研究着眼于国际能源地缘格局,立足于我国能源安全层面之上,运用演化博弈的有限理性和复制动态思想,在假设中亚国家战略偏好固定的情况下,通过建立中亚能源合作的演化博弈模型,试图找出中亚能源合作博弈的演化路径及长期均衡战略。
关键词: 中亚;能源合作;演化博弈
中图分类号: F113.3 文献标识码: A 文章编号: 1003-4161(2011)03-0133-04
中亚是指里海以东,西西伯利亚以南,阿富汗以北及我国新疆以西的亚洲中部地区,包括哈萨克斯坦,乌兹别克斯坦、吉尔吉斯斯坦、塔吉克斯坦和土库曼斯坦五个国家。中亚里海地区是除中东和西伯利亚地区以外,石油储量最大的地区。中亚五国在国际能源格局中的重要性是来自它们所处的敏感地理位置以及它们潜在的资源优势。美国、俄罗斯、欧盟、日本、中国等这些地缘能源利益共同体的核心国家都在极力谋取和扩大在中亚能源地缘格局中的话语权和影响力,作为其大国发展之道。这些大国在中亚的利益诉求加大了中亚能源博弈的复杂性和不确定性,对于我国在中亚的能源战略会产生重大的影响,甚至是我国在中亚开展能源合作的重要约束。
本文运用演化博弈的有限理性和复制动态思想,在假设中亚国家战略偏好固定的情况下,通过建立中亚能源合作的演化博弈模型,试图找出中亚能源合作博弈的演化路径及长期均衡战略。
一、研究工具——演化博弈论
以有限理性为基础的演化博弈论是把博弈理论分析和动态演化过程分析结合起来的一种理论,它源于生物进化论,成功地解释了生物进化过程中的某些现象,在分析社会习惯、规范或制度的演化等方面也取得了令人瞩目的成绩,特别是演化稳定策略这一基本概念被提出以后,该理论逐渐被广泛地用于生态学、社会学、经济学等领域。
1973年,约翰·梅纳德·史密斯(John·Maynard·Smith)在《演化与博弈论》(Evolution and the Theory of Games)提出演化稳定策略(Evolutionarily Stable Strategy,ESS)的概念。即“演化稳定策略是这样一个策略:如果整个群体的每个成员都采取这个策略,那么在自然选择的作用下,不存在一个具有突变特征的策略能够侵犯这个策略。”①
弗里德曼研究了非对称博弈的更一般的单调调整过程,得出了“渐近稳定结果必定是纳什均衡”结论②。
ESS的定义:如果策略满足:
(1)(α',α')是纳什均衡;
(2)对于任意α≠α'满足μ(α',α')=μ(α',α),则必有μ(α',α)>μ(α,α)
则α'是演化稳定策略③。
二、基本假设
(一)有限理性假设
演化博弈论从有限理性出发,认为博弈参与人只能知道博弈结构的一部分而不是全部,参与人也不可能知道各种状态出现的客观概率及不同状态对自己支付的意义,在多数情况下参与人并不能对环境的任何变化做出最优反应,其决策是基于某种常规而非理性的计算结果。在中亚能源合作博弈格局中,每个参与人的社会、历史和文化等诸多的要素不同,所以在能源博弈的战略互动的反应具有差异,在构建中亚能源博弈框架时,假设参与人具有有限理性,并且理性程度不同,在互动的过程中不断获得信息,同时理性层次不断提高,并调整自己的行为策略。每个参与人在有限理性空间内追求自身利益。
(二) 复制动态
主要利用复制动态方法研究群体达到均衡的行为调整过程,假定参与人并没有特定的博弈对手,它所强调的动态是相对于群体行为达到均衡的调整过程。该假设从系统论出发,把群体行为的调整过程看作为一个动态系统,认为动态系统的均衡是达到均衡过程的函数,因而可以把影响均衡的各种因素都纳入到演化博弈模型中去。在给定信息下,个体不一定能够找到最优化行为,而是通过学习、模仿等动态调整过程进行策略选择,系统达到均衡是需要时间的,均衡是暂时的甚至是不可能的,非均衡才是常态和现实,经济系统向着均衡靠拢,但可能长期达不到均衡,系统的均衡点可能有多个,究竟达到哪一个均衡依赖于演化的初始条件及演化路径。
在博弈的动态演化过程中,采用高收益策略的参与人比起采用低收益策略的参与人,更容易重复采用自己的策略,采用低收益策略的参与人比例会逐渐减少,参与人中某一策略的增长率是收益的线性函数。
(三) 中亚能源出口国的战略偏好固定
此处假设中亚能源出口国家的战略偏好固定,并且其收益函数固定,即在一个演化时期内,中亚国家能源战略“资源富国和能源出口多元化”不会发生改变,只在这一战略指导下进行策略调整,唯有此才能保证中亚的能源合作演化博弈过程中环境的连续性。
三、中亚能源合作演化博弈模型
假设在博弈初始时刻,参与人( 包括中亚能源消费国和中亚产油国) 的总数量为 N,其中选择策略 H 的参与人为 N1,选择策略 D 的参与人为 N2,其中 N1+ N2= N。现假设每个参与者都有两个策略选择: H 策略表示用合作的手段获得资源; D 策略表示用激烈竞争手段获得能源。假设激烈竞争所获得的收益为 R,而采取合作策略的额外收益为 E,因合作而付出的额外成本为 C( 注意这里 C 是为合作而付出的额外成本,比如收集对方信息,制定各种合作协议和为保证合作增加的额外成本等等,而前文为了简化分析,假设合作没有成本) 。N1、N2、N 的意义与前述简化模型中相同,用 R1表示 N1不与其他能源消费国合作时的单独收益,E1表示 N1合作时的额外收益,C1表示 N1为合作付出的成本,R2表示 N2不合作时的中亚能源收益,E2表示 N2合作时获得的额外收益,C2表示 N2为合作付出的成本,则有如下支付矩阵:
表 1 中亚能源合作演化博弈支付矩阵

对于 N1和 N2而言,都有两个策略选择,在 t 时刻,对于 N1,采取 H 策略的概率为 α; 所以其采取策略 D 的概率为 1 - α,其中 0≤α≤1; 这里假设 N2选择 H 策略的概率为 β,选择 D 策略的概率为 1 - β,其中 0≤β≤1,对于表 1 中的支付矩阵而言,( α,β) 表示了中亚能源博弈的参与人的( 合作—竞争) 演化动态,下面来研究这一动态演化的均衡情况。
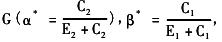
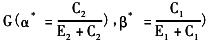
在中亚能源合作动态演化过程中,每个参与者都通过策略调整追求在整体中的适应性,我们用策略的增长率来表示参与者在整体中的适应性,某一策略的适应性高于平均适应性,这一策略就会得到发展,就是说,如果某一策略的收益高于平均收益,那么这一策略就会得到强化,用 α 的增长率
来描述群体的相对适应性,
,当 α& =0 时,N1中选择策略 H 的比例处于稳定状态,即博弈处于相对均衡状态。因此可以通过以下计算求的:
对于 N1而言:
选择 H 策略的期望收益为: EU1H= β( R1+ E1- C1) + ( 1 -β) ( R1- C1)

该系统的雅克比( Jacobian) 矩阵的迹为:
trJ = ( 1 - 2α) ( βE1+ βC1- C1) + ( 1 - 2β) ( αE2+ αC2-C2)
将上述 5 个局部均衡点,分别代入 detJ 和 trJ 表达式,可以得到这 5 个点的稳定性特征。5 个局部均衡点中有两个渐进稳定点,Ⅰ( 0,0) 和Ⅲ( 1,1) 是该系统的演化稳定策略( Evolutionar-ily Stable Strategy,ESS) ,分别对应中亚能源博弈的参与人全部采取竞争策略和全部采取合作策略,而局部稳定点Ⅱ( 0,1) 和Ⅳ( 1,0) 表示系统处于暂时的稳定状态,对于周围轨道没有吸引力,反而有排斥力,一旦有扰动使得系统偏离这种状态,则排斥力将使任何轨道远离。系统的鞍点
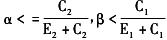
为了直观看出该系统的动态演化过程,通过上述分析可以建立α - β 的平面相迹图。横轴表示 N1中选择合作策略的国家的比例变化( 0≤α≤1) ,纵轴表示中选择合作策略的国家的比例( 0≤β≤1) ,图中箭头所示为该区域内复制动态方程的演化方向。图中四个顶点坐标为Ⅰ( 0,0) ; Ⅱ( 0,1) ; Ⅲ( 1,1) ; Ⅳ( 1,0) ;
; 由这五个点构成的线段规定了该系统的演化临界线和演化域,如图所示:

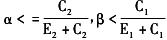
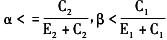
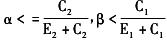
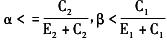
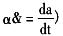
当
时,在 N1和 N2中选择合作的比例均小于临界值,处在系统动态演化的 A 区域,博弈收敛于Ⅰ( 0,0) ,即 α =0,β =0 是系统的演化稳定策略,N1和 N2都倾向于选择激烈竞争模式获得资源,不与其他国合作。在这种情况下,说明中亚能源合作的基础和条件尚不具备,参与人对于合作的预期收益小于因合作要付出的成本,并且在合作剩余中的分配也小于预期值,合作缺乏演化动力,即使部分国家开始时采取合作策略共同开发利用中亚能源,但因合作收益小于合作成本而放弃合作。
当
时,处在系统动态演化的 B 区域,博弈有可能收敛于Ⅲ( 1,1) ,也有可能收敛于Ⅰ( 0,0) ,这主要取决于 N1和 N2在动态博弈过程中的学习及策略调整速度,现实中,如果某参与国的信息获取速度快,策略的灵活度大就更易于进行策略调整,但是如果学习速度较慢,并且策略变动空间小,则不易于调整策略。而学习速度和战略调整速度受到诸如政治制度和经济制度等诸多方面的影响,进而影响博弈的动态演化路径。
当
时,在 N1和 N2中选择合作的比例均大于临界值,处在系统动态演化的 C 区域,博弈收敛于Ⅲ( 1,1) ,即 α =1,β =1 是系统演化稳定策略,所有参与人都选择合作策略,即共同开发利用中亚能源,而放弃以竞争的手段获得资源。
当
时,处在系统动态演化的 D 区域,博弈有可能收敛于Ⅲ( 1,1) ,也有可能收敛于Ⅰ( 0,0) 。同样取决于 N1和 N2在动态博弈过程中的学习及策略调整速度,系统会朝着学习及策略调整速度快的一方演化。
从上面的分析可以看出,在博弈之初,参与者在给定的信息状态下,不一定能够选择最优策略,只能在其理性空间内做出策略选择。是在动态交往的过程中,通过对国际政治形势、世界经济形势及国际能源状况等信息的不断了解,不断学习和调整博弈策略。博弈双方的学习和策略调整速度,双方的初始状态都会影响系统的演化路径和演化稳定状态。
四、结论
通过建立中亚能源合作演化博弈模型,通过对模型的动态演化过程的分析,得出以下几个结论:
(一) 演化博弈的稳定状态不仅取决于博弈初始状况,而且还取决于博弈双方的学习及策略调整速度
这里的初始条件可以理解为是否达到了临界值,从图 1 可以看出,折线ⅣG 和折线 GⅡ构成了演化状态的临界线,当初始值落在临街线的右上方,那么( 1,1) 的状态即使演化稳定状态,即全部参与人都采取合作策略。如果初始值落在的临界线的左下方,则系统会演化到( 0,0) 的状态,即全部参与人都采取竞争策略。如果想达到合作的稳定状态,要求有一定合作基础,还要在文化、经济等多方面能够互动并能灵活的进行策略调整。
(二) 合作收益与合作成本是整个博弈演化的决定变量
虽然双方采取合作策略的比率变化,取决于对方收益与成本的情况。但是前提是合作策略带来额外收益,即只有当 E - C> 0,才会考虑采取合作策略,否则不会参与合作。
(三) 博弈双方选择策略的的增长率取决于对方的合作成本与合作收益,即
双方采取合作策略的比例,取决于对方收益与成本的情况。而不是由自己的成本和收益来决定的。所以在国际能源合作中,合作双方不仅关心自己成本收益,还关心对方的成本收益。当一方的收益一定,其付出的成本越高,另一方就越愿意采取合作策略。反之则不愿合作,即使自己的成本收益不变。
五、启示
(一) 提高自身实力可以使对方从竞争策略演化到合作策略
博弈的一方增强本国的政治、经济和军事等方面的实力可以提高对方的使用竞争( 极端情况是战争) 手段成本,进而有效避免激烈竞争或者战争,因为当资源价值大于战争成本时,实力较强的一方用竞争的手段获取资源就不可避免,所以增强综合实力可以迫使对方从竞争策略转向合作策略。
我国在中亚能源博弈过程中,为减少其他消费大国竞争压力,应该提高我国的政治、经济和军事等综合实力,但是同时要加强同中亚国家的友好对话,消除“中国威胁论”在中亚地区的不利影响。
(二) 系统趋于合作的演化稳定状态需要达到某一临界值,即合作需要特定的基础
演化稳定状态不仅依赖于博弈双方的学习速度,也取决于博弈双方的初始状态,即具有演化的初值依赖性。如果双方想达到理想的合作的稳定状态,要求有一定合作基础,这种基础可以减少双方选择合作策略时的成本,使合作剩余增加。在中亚能源博弈过程中,加强同中亚能源出口国之间的经济、贸易、科技、文化等多方面的合作,有利于减少双方在能源领域合作的成本,增加合作剩余,只有当达到某一临界值,博弈才能朝着( 合作,合作) 的状态演化。
(三) 灵活开放的制度安排,可以使系统朝着对自己有利的方向演化调整
由于系统的演化方向受双方的学习速度和策略调整速度影响,这里学习速度主要指信息获取和动态模仿的速度,开放灵活的制度安排有利于提高信息获取速度,有利于策略的快速调整,进而才能在动态演化博弈中朝着有利于自己的趋势发展。在参与中亚能源博弈的过程中,可以通过搭建各种信息平台提高学习速度。
(四) 可以通过经济、技术和军事等方面的援助来改变双方的成本收益状况,进而改变双方的策略选择
双方策略的调整的比率变化状况取决于对方的合作收益与合作成本状况,每个参与者不仅关心自身的成本收益状况,还关心对方的成本收益状况。所以在能源博弈过程中,可以考虑用经济、技术、军事等援助手段通过改变双方的成本收益进而改变双方的策略选择,从长远的角度考虑合作双方的利益,实现博弈过程的双赢。
基金项目:国家社科基金重大项目“中国能源安全与中亚能源合作机制研究”( 08AJYD014) 资助。
注 释:
① John Maynard Smith. Evolution and the Theory of Games[M]. 潘春阳译.复旦大学出版社,2008: 10.
②张良桥. 论进化稳定策略[J]. 经济评论,2003,( 02) .
③葛新权,王国成. 博弈试验研究[M]. 社会科学文献出版社,2007: 290.
参考文献:
[1]安尼瓦尔·阿木提 . 石油与国家安全[M]. 新疆人民出版社,2003.
[2]秦放鸣. 里海地区油气资源竞争的矛盾冲突及中国的战略选择[J].新疆社会科学,2007,( 01) .
[3]孙壮志. 中亚五国的地缘战略地位[J]. 东欧中亚研究,2000,( 04) .
[4]何伦志. 大国在中亚的能源博弈[R]. 研究报告,2008.
[5]孙霞. 中亚能源地缘战略格局与多边能源合作[J]. 世界经济研究,2008,( 05) .
[6]何伦志,安尼瓦尔·阿木提. 中国的中亚能源发展策略[J]. 上海经济研究,2008,( 01) .
[7]张良桥. 论进化稳定策略[J]. 经济评论,2003,( 02) .
[8]韩立华. 国际能源地缘战略格局与上海合作组织能源一体化[J]. 国际经济合作,2007,( 01) .
[9]孙文娟. 中亚能源合作演化博弈及中国的战略对策[D]. 新疆大学,2009.
[作者简介]孙文娟(1976—),女,乌鲁木齐职业大学经贸学院,经济学博士,研究方向:中亚经济、物流管理。
责编:汪金平;校对:一丁
版权所有:中国社会科学院俄罗斯东欧中亚研究所
地址:北京市张自忠路3号 邮编:100007 信箱:北京1103信箱
电话:(010) 64014006 传真:(010) 64014008 E-mail:Web-oys@cass.org.cn