内容提要:能源合作既是上海合作组织各成员国经济合作的重要接轨点,也是增强该组织活力和凝聚力的重要途径。虽然目前中国与上海合作组织各成员国能源领域的合作具有很强的互补性,但成员国间的合作仍不可避免地受到诸多不确定因素的制约。本文结合中国和上海合作组织各成员国能源合作的具体情况,建立动态博弈模型,分析能源合作的过程,研究各方的行为和可能产生的结果,为中国与上海合作组织成员国能源合作机制提供理论依据。
关键词:上海合作组织;能源合作;博弈
作者单位:耿晔强,山西大学投资发展研究中心;马志敏,太原师范学院政法系。
中图分类号:F114.4 文献标识码:A 文章编号:1007-6964[2011]05-110222-0075
一、引 言
“上海合作组织”的前身是由中国、俄罗斯、哈萨克斯坦、吉尔吉斯斯坦和塔吉克斯坦组成的“上海五国”会晤机制。2001年6月,乌兹别克斯坦以完全平等的身份加入“上海五国”,至此上海合作组织正式成立。从2004年开始,上海合作组织启动了观察员机制,蒙古国随即获得观察员资格。2005年7月5日,上海合作组织第五次峰会决定给予巴基斯坦、伊朗、印度观察员地位。上海合作组织成员国总面积3000多万平方公里,约占欧亚大陆的五分之三;人口14.89亿,约占世界人口的四分之一。上海合作组织正式成立十年来,各成员国在经贸、教育、信息安全和反恐等诸多领域加强了合作,各国领导人已签署了《上海合作组织成员国多边经贸合作纲要》、《上海合作组织成员国元首关于国际信息安全的声明》等10多份文件,上海合作组织已经成为新兴的区域性国际合作组织,其影响力不断扩大。
随着经济全球化和区域经济一体化迅猛发展,为保障经济可持续稳定的发展以及能源的安全,近年来各成员国在上海合作组织框架下加强了能源合作。上合组织中既有能源资源大国(俄罗斯、乌兹别克斯坦和哈萨克斯坦),也有能源消费大国(中国),对开展区域能源一体化合作有着强大的内在需求(韩立华,2006;陈小沁,2008)。能源合作既是经济合作不可缺少的一个方面,是经济合作中的重要一环,又是上合组织各成员国经济合作的重要接轨点,也是增强该组织活力和凝聚力的重要途径(刘朝锋,2007;王海运,2008)。上海合作组织的能源合作,同环保、文化、科技、交通及金融信贷等其他方面的合作一样,不仅有利于各成员国经济发展,也有利于地区和平、安全与稳定(张玉国,2007)。为保证能源来源的多元化,确保能源的安全,中国应加强能 源多边合作,在利用国内资源的同时大力开发国外的油气资源,并且努力实现进口油气多通道,这是中国调整能源政策和能源开发战略的重要内容(潘光,2005;李葆珍,2010)。在中国的海外能源发展战略中,与上海合作组织成员国之间的双边及多边能源合作具有重要的地位。
在能源合作的整个过程中,中国将会与多方主体产生行为关系。本文分析中国在与上海合作组织成员国之间能源合作中发生的利益博弈过程,它们的能源合作关系可以理解为一个动态博弈的过程,而且这个动态博弈过程也是一种重复博弈。因此,在此情况下的博弈问题就主要归结为道德风险和逆向选择下的信息不对称的克服问题,本文以中国与上海合作组织成员国构建博弈模型,并分析能源合作的过程,来研究各方的行为和可能产生的结果,以便为中国与上海合作组织成员国能源合作机制提供理论依据。
二、上海合作组织能源合作现状
1.上海合作组织能源合作基础
首先,上海合作组织成员国之间的要素禀赋存在很强的互补性。俄罗斯和中亚国家能源丰富,特别是具有可观的油气资源储量,中国是一个稳定的能源消费国,每年需要进口大量能源,这为上海合作组织框架下开展能源合作提供了可能。目前,俄罗斯已经探明的可采石 油储量达74.2万亿桶,占世界石油储量的5.57%;天然气储量为44.38万亿立方米,占世界天然气储量的23.67%;俄天然气年产量为5275.1多亿立方米,石油年产量达4.94多亿吨,分别居世界第一、第二位(如表1和表2所示)。哈萨克斯坦已探明的石油储量近39.8万亿桶,产量和出口量逐年增加,成为日益重要的能源供应国。乌兹别克斯坦天然气资源十分丰富,目前其开采量居独联体国家第二位和世界前十位。能源出口是俄罗斯和中亚国家经济转型和经济增长的重要引擎,增加对能源资源的开发和出口则成为其不可替代的经济增长点(林跃勤,2006)。而中国经济的迅速发展,带动了能源消费需求的快速增长,尤其是对石油的需求量逐年递增,年增速在近年来已达到16%左右,远远超过世界6%~7%的平均值。而中国探明的石油和天然气储量仅占世界的1.11%和1.31% (如表1和2所示),因此为保障国家经济安全,中国必须要有足够的能源储备。尽管中国采取了一系列措施,旨在系统降低能源需求、节约能源及压缩“能源篮子”,但预计到2020年,中国对石油进口的需求将从目前的300万桶/日增加到500万桶/日。
表1 2009年上合组织国家的石油储量、产量及消费量
| 国家 | 储量(万亿桶) | 占世界储量(%) | 年产量(亿吨) | 占世界产量(%) | 消费量(亿吨) | 占世界总量(%) |
| 中国 | 14.8 | 1.11 | 1.89 | 4.95 | 4.05 | 10.42 |
| 俄罗斯 | 74.2 | 5.57 | 4.94 | 12.94 | 1.25 | 3.22 |
| 哈萨克斯坦 | 39.8 | 2.99 | 0.78 | 2.04 | 0.12 | 0.31 |
| 乌兹别克斯坦 | 0.6 | 0.05 | 0.045 | 0.12 | 0.05 | 0.13 |
| 吉尔吉斯斯坦 | n.a | n.a | n.a | n.a | n.a | n.a |
| 塔吉克斯坦 | n.a | n.a | n.a | n.a | n.a | n.a |
| 伊朗 | 137.6 | 10.32 | 2.02 | 5.30 | 0.84 | 2.15 |
| 印度 | 5.8 | 0.44 | 0.35 | 0.93 | 1.49 | 3.83 |
| 巴基斯坦 | n.a | n.a | n.a | n.a | 0.21 | 0.53 |
数据来源: BP-2010年《世界能源统计》注: n.a无可靠数据资料。
表2 2009年上合组织国家的天然气储量、产量及消费量
| 国家 | 储量(万亿立方米) | 占世界储量(%) | 年产量(亿立方米/年) | 占世界产量(%) | 消费量(亿立方米) | 占世界总量(%) |
| 中国 | 2.46 | 1.31 | 851.7 | 2.85 | 887 | 3.02 |
| 俄罗斯 | 44.38 | 23.67 | 5275.1 | 17.66 | 3896.8 | 13.25 |
| 哈萨克斯坦 | 1.82 | 0.97 | 322.3 | 1.08 | 196.1 | 0.67 |
| 乌兹别克斯坦 | 1.68 | 0.90 | 644.3 | 2.16 | 456 | 1.55 |
| 吉尔吉斯斯坦 | n.a | n.a | n.a | n.a | n.a | n.a |
| 塔吉克斯坦 | n.a | n.a | n.a | n.a | n.a | n.a |
| 伊朗 | 29.61 | 15.79 | 1312 | 4.39 | 1317 | 4.48 |
| 印度 | 1.12 | 0.69 | 392.6 | 1.31 | 518.8 | 1.76 |
| 巴基斯坦 | 0.91 | 0.49 | 379 | 1.27 | 379 | 1.29 |
数据来源: BP-2010年《世界能源统计》注: n.a无可靠数据资料。
其次,上海合作组织的能源合作具有良好的地缘优势。上合组织成员国及其观察员国都是彼此接壤的邻国,交通便利。特别是中亚国家处于较为优越的地理位置,北临俄罗斯,西通欧洲大市场,南接印度次大陆,东靠经济蓬勃发展的中国及亚太地区。比如,中国与俄罗斯及哈萨克斯坦、乌兹别克斯坦等中亚国家在地理位置上相邻近,便于采用管道输送油气,可以为中国提供长期而稳定的陆路能源供应、提高运输安全系数、降低油气进口费用。目前,中哈两国已建成全长3000公里输油管线;中俄正在建设全长1030公里、年输油量1500万吨的油气管道。
最后,在国际能源格局快速调整的大背景下,上海合作组织的能源合作有利于各成员国的能源安全。从供应方来看,俄罗斯和中亚国家均致力于扩大能源出口,但面临着出口市场单一、出口渠道狭窄的问题,这成为制约它们发展能源经济的瓶颈,因此这些国家急于寻求其他能源合作伙伴,积极实行能源出口多元化战略,以保证能源的出口安全。从需求方来看,中国石油进口的50%通过海上运输来自中东地区,但是中东国家政局不稳和马六甲海峡海盗频繁出没,使中国的能源安全 难以得到充分保障。在这种情况下,中国正在积极寻求能源进口安全,以满足因经济快速发展带来的能源需求的急剧增加。因此,发展上海合作组织框架下的能源合作符合各方利益,是上合组织成员国促进本国经济发展、保障能源安全的共同需要。
2.上海合作组织能源合作存在的问题
虽然深化上海合作组织的能源合作是各成员国经济发展的共同要求,但是,在推进能源合作的进程中也存在着诸多困难与挑战。这其中既有客观条件的限制,也有主观因素的影响。
从客观限制条件来看: (1)由于受到开采条件的限 制,石油的实际开采量限制了输油能力,难以保证预期的石油输出。(2)上合组织能源合作还受到外部力量的干扰和影响。例如,亚太地区能源消耗大国中国和日本都将自己的能源进口多元化目标瞄准俄罗斯,导致二者一定程度上的恶性竞争;美国则试图将中亚等国的油气资源导向西方;欧盟则要摆脱对俄的能源依赖,拟直接从中亚—里海地区获取能源;另外,里海的法律地位和海底资源划分归属问题也是制约上合组织能源合作的一个重要因素。
从主观影响因素来看: (1)上合组织成员国间不同能源战略制约能源合作。比如,俄罗斯能源战略重点是考虑本国和全球的能源安全,而中国为了经济持续平稳的发展期望能源供应充足而稳定。(2)上合组织体制机制不完善制约能源合作步伐。各成员国在上合组织框架内的能源合作还未达成最终的一致,未制定统一、整体的发展规划,致使能源合作缺少法律基础和运行机制,各种合作协议的落实缺乏资金保障。
三、中国与上海合作组织成员国能源合作的博弈分析
利益博弈指的是一种互动决策,即每一行为主体的利益不仅依赖于自己的行为选择,而且依赖于别人的行为选择。博弈论就是研究理性的决策者之间冲突与合作的理论。假设博弈的局中人由两个国家的政府来组 成,政府在博弈过程中主要关注本国的经济利益,博弈的策略组合是由合作和不合作两种行动构成的,局中人可以观察到双方的支付函数,但是对于策略选择的判断却要依赖于自身的观察和双方利益可能性大小的判断。
在现实中,能源合作博弈不会只进行一次,而是长期反复进行的。因此,有必要用重复博弈对这个问题进行分析,对于重复博弈有如下定理:
定理1:令G是阶段博弈,G(T)是G重复T次的重复博弈(T<∞)。那么,如果G有唯一的纳什均衡,则重复博弈G(T)的唯一子博弈精炼纳什均衡结果是阶段博弈G的纳什均衡重复T次。
定理2:令G为一个n人阶段博弈,G(∞,δ)为以G为阶段博弈的无限次重复博弈, a*是G的一个纳什均衡,e=(e1,e2,…,en)是a*决定的支付向量,v=(v1,v2,…,vn)是一个任意可行的支付向量,V是可行支付向量集合。那么,对于任何满足vi>ei的v∈V( i),存在一个贴现因子δ*<1使得对于所有的δ≥δ*,v=(v1,v2,…,vn)是一个特定的子博弈精炼纳什均衡结果。
模型假设: (1)中国和上海合作组织成员国都是理性的; (2)双方都可以了解到对方的资源禀赋、技术特长和市场需求与供给状况等信息,且双方在行动过程中有一个先后顺序关系; (3)双方从能源合作中获得的收益分别是R1、R2; (4)在一方合作、另一方不合作时,采取合作策略的一国将得到最少的报酬S1,而采取不合作策略的一国将得到诱惑的报酬T2,T是一方合作时另一方不合作的动机所在; (5)若双方都不合作所遭受的损失分别为C1、C2; (6)R、S、T、C>0,这些报酬的顺序是T>R>C>S。
1.有限次博弈看能源合作的可能性
从图1可看出,只考虑一次博弈,两个国家同时选择战略时,一次博弈的纳什均衡结果是(不合作,不合作),此时双方获得的收益是(C1,C2),这与经典的囚徒困境结果是完全一致的。因为从上海合作组织成员国的角度看,如果中国先选择了合作,上海合作组织成员国选择不合作获益最多(T2>R2),所以上海合作组织成员国选择不合作是比较好的策略;而如果中国先选择不合作,上海合作组织成员国选择不合作的损失最少(C2>S2)。因此,在一次博弈中,上海合作组织成员国的占有策略是不合作。此时,由于预料到上海合作组织成员国会选择不合作,如果中国选择合作的话则比选择不合作损失更多(S1<C1),故中国会在开始时就选择不合作。

图1 能源合作博弈树
根据定理1,考虑有限次博弈,假定对局的次数为N,且N为有限的。可以用逆推归纳法来分析该重复博 弈,即从最后一次的对局开始分析。此时对一国来说,在最后一次进行不合作是划算的,此时已不存在进行报复的可能性,前一阶段的结果已成为既成事实,此后又不再有任何的后续阶段,因此实现自身当前的最大利益是博弈方在该阶段决策中的唯一原则。不难得出结论,不管前一次博弈的结果如何,最后一次的结果都和一次博弈的结果是相同的。既然一国在第N次一定选择不合作策略,那么在第N- 1次选择合作策略是没有意义的。因此,两国在第N- 1次博弈开始就将采取不合作策略。依此类推,可以得出有限次的博弈与一次性的博弈将得到同样的结局。
2.无限次博弈看能源合作的可能性
根据定理2在完全信息条件下无限次重复动态博弈中,中国和上海合作组织成员国就会作出不一样的战略选择。双方将采取“冷酷政策”,即开始一国选择合作,如果另一国选择了不合作,则在下一轮博弈中一国必然也选择不合作作为报复性或防范性措施,然后双方永远选择对抗。在冷酷战略下,一旦国家在某个阶段博弈中自己选择了不合作,而它又没有改正错误的机会,之后它将永远选择不合作。冷酷政策的结果是双方都没有背叛对方的积极性,因而选择合作。因此,从长久的无限次重复博弈来看,由于双方都害怕遭到报复性行 为,博弈均衡必然是(合作,合作),此时中国和上海合作组织成员国获得的收益分别是(R1,R2)。
因为博弈没有最后阶段,不能用逆向归纳法求解。
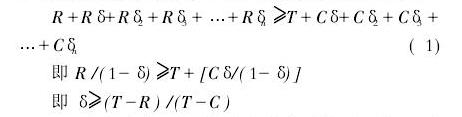
令δ为贴现因子(假定双方的贴现因子相同,可以理解为参与者的合作意愿和耐心程度),且0<δ<1。显然,只有下述条件满足,双方的不合作才能被有效地抑制住:

(1)式左端为长期合作的未来收益的贴现值,右端是一次性不合作的收益加上在以后阶段两国采取不合作策略所能获得的收益的贴现值。在这个假定下,双方必须有强烈的合作意愿和耐心程度,使得贴现系数δ大 于(T-R) /(T-C)。只有这样两方的最优策略才是永远合作,因为第一步不合作得到的好处最终将被长期的惩罚所抵消。这将使一国得到长期的损失,结果就是两败俱伤,甚至双方将永远失去合作的机会。这就达到了一个新的纳什均衡,从而走出一次博弈的困境。
四、中国与上海合作组织成员国能源合作的路径探讨
通过以上博弈分析,中国与上海合作组织成员国在有限次博弈中并不会合作,只有在无限次重复博弈中,采用惩罚性政策才会使双方存在合作的可能性。但在现实中,能源合作并不像理论讨论的那么简单,要使中 国在能源合作中获得稳定的长期收益,就必须具备一系列的保证条件: (1)贴现值δ越大; (2)双方从能源合作中获得的收益R越多; (3)双方不合作的动机T越小;(4)双方不合作自身损失C1越小,对方损失C2越大。
首先,中国要想在能源合作中获得理想的经济利益,就必须使各成员国在深化上海合作组织框架内的能源合作方面达成广泛共识,强化各方的合作意愿以提高贴现因子δ。为了使各成员国共同努力,应尽快建立和完善有效的合作协调机制。新修订的《〈上海合作组织成员国多边经贸合作纲要〉落实措施计划》,在能源合作上还没有行之有效的协调合作机制。为此,需进一步强化能源合作在上海合作组织整个经贸合作中的重要地位,中国与其他上海合作组织成员国应制定上海合作组织框架内的能源合作长期战略,设立能源合作的专职协调机构,加强参与国际能源合作的宏观指导。上合组织国家为进一步加强能源合作的协商与对话,可考虑通过上海合作组织的能源俱乐部进行双边和多边合作,定期召开由各国能源部长参加的国际会议,以便加强沟通。
其次,要减少各成员国采取不合作的可能,就必须充分发挥各自能源的潜在比较优势,寻求能源合作多元化以提高合作收益R,并减少不合作的动机T。中国可以和上合组织成员国之间开展能源多元化合作方式,采取投资、贸易、合作研发、技术转让等方式开展组织内双边或多边合作。将能源合作由资源贸易型向精深加工型转变,带动煤炭、油气、核电、森林、矿产等资源设备和技术等领域合作,并在新能源、节能环保等领域发掘培育新项目。这不仅可以拓展合作领域、延长合作价值链并为双边和多边合作创造更多的财富价值,而且也有利于就业的增加和加快各国经济的开发。目前,在上合组织框架下中国与上合组织成员国开展了多项能源合作,且发展势头良好。中国作为能源消费大国和稳定可靠的油气大市场,与上海合作组织成员国之间的双边及多边能源合作正在逐一有序地展开,在推进与俄罗斯和中亚的合作时,中国坚持维护地区安全与稳定以及公平竞争、互利共赢的原则,赢得了俄罗斯及中亚国家的信赖,有力地推进了中国与俄罗斯和中亚国家间的能源合作(如表3)。特别是中国和俄罗斯近年来在石油领域的合作进入了快速发展期,基于两国的能源现实情况及其意愿,双方在石油合作领域会有一定的发展潜力。
表3 近年来中国与上合组织成员国能源合作情况
| 国家 | 石油、天然气能源合作 |
| 中国与俄罗斯 | 2008年10月29日,中国石油天然气集团公司和俄罗斯管道运输公司签署《关于斯科沃罗季诺—中俄边境原油管道建设与运营的原则协议》等能源领域合作文件 |
| 2009年2月,中国和俄罗斯就修建中俄能源管道、长期原油贸易、贷款等一揽子合作项目达成广泛共识 | |
| 2009年4月和5月,中俄原油管道工程俄罗斯境内段和中国境内段分别开工 | |
| 2009年4月21日,两国签署了《中俄石油领域合作政府间协议》 | |
| 2009年10月,两国签署了《关于俄罗斯向中国出口天然气的框架协议》 | |
| 2009年10月,两国签署了《中国石油天然气集团公司与俄罗斯石油股份公司关于推进上下游合作的谅解备忘录》 | |
| 中国与哈萨克斯坦 | 2005年10月26日,中国石油天然气集团公司收购了哈萨克斯坦石油公司 |
| 2006年5月25日,中哈原油管道建成并正式对中国输油 | |
| 2007年8月18日,中国石油天然气集团公司与哈萨克斯坦国家石油公司签署了《关于中哈天然气管道建设和运营的合作协议》 | |
| 2008年11月,中国与哈萨克斯坦签署了关于在天然气及天然气管道领域扩大合作的框架协议 | |
| 中国与乌兹别克斯坦 | 2005年5月,两国签署了石油开采等协议 |
| 2008年4月,中国石油公司和乌兹别克斯坦石油天然气公司组建了合资企业Asia TransGas有限责任公司,负责输送能力为300亿立方米的乌-中天然气管道设计、建设和运营工作,这条天然气管道将通过乌兹别克斯坦,把土库曼斯坦的天然气输往中国 | |
| 2008年11月,中国和乌兹别克斯坦达成了开采乌纳曼甘州明格布拉克油田的协议 | |
| 中国与土库曼斯坦 | 2006年4月3日,两国天然气输送管道的建设问题签署协议 |
| 中国与吉尔吉斯斯坦 | 2008年3月,中国与吉尔吉斯斯坦签署了从吉国向中国出口煤炭的协议 |
| 中国与伊朗 | 2009年3月,中国与伊朗签署了一项价值32亿美元的天然气协议 |
注:资料根据相关文献汇总。
最后,为了减少上海合作组织能源合作失败后自身所遭受的损失C,中国应采取多元化的能源进口供应渠道。建立多元化的能源供应体系,保证能源供给的多元化,多元化有利于降低中国对上海合作组织成员国的能源依赖,避免能源危机。中国特别应关注东盟、非洲及南美洲等未来具有潜力的能源供应市场,这些地区能源储量较为丰富,但尚未大规模开发,中国应积极与这些地区开展能源合作。同时,中国应改变现有的能源消费方式,提高能源利用效率,在有限的资源条件下实现能源安全。
参考文献
[1] 林跃勤.对扩大上海合作组织框架内能源合作的若干思考[J].俄罗斯中亚东欧市场,2006(11).
[2] 刘朝锋,刘晓玲.新时期上海合作组织能源合作探析[J].西伯利亚研究,2007(4).
[3] 潘光.上海合作组织与中国的海外能源发展战略[J].世界经济研究,2005(7).
[4] 张玉国.上海合作组织能源俱乐部建设问题与前景[J].俄罗斯研究,2007(3).
[5] 陈小沁.上海合作组织能源一体化前景探析[J].国际经济合作,2008(10).
[6] 韩立华.上海合作组织框架下多边能源合作的条件与前景[J].国际石油经济,2006(6).
[7] 李葆珍.上海合作组织的能源合作与中国的能源安全[J].郑州大学学报,2010(7).
[8] 王海运.关于上海合作组织能源合作的思考[J].西安交通大学学报,2010(1).
(责任编辑:朱 颖)
[本研究得到第48批中国博士后科学基金面上资助项目、国家统计局重点项目(项目号:2008LZ008)和高等学校校内人文社会科学研究(项目号:0809020)的资助,特表感谢。]
版权所有:中国社会科学院俄罗斯东欧中亚研究所
地址:北京市张自忠路3号 邮编:100007 信箱:北京1103信箱
电话:(010) 64014006 传真:(010) 64014008 E-mail:Web-oys@cass.org.cn