【内容提要】根据基础设施投资与经济增长之间的倒“U”形关系,可以得出基础设施投资存在一个最优规模。没有达到这一规模意味着基础设施投资不足,会造成基础设施供给短缺、服务功能减弱,影响社会生产和生活,减少社会需求从而抑制经济的增长。在俄罗斯拉动经济增长的“三驾马车”中,投资的占比偏低,学术界对此已有共识。本文通过巴罗模型对俄罗斯的基础设施投资规模进行了实证分析。结果表明,俄罗斯的现实基础设施投资规模与其最优投资规模的差距很大,这直接和间接地阻碍了其经济发展。俄罗斯要想走出经济增长的困境,使经济步入长期较快增长的轨道,须加大投资力度,尤其是基础设施的投资力度。
【关键词】俄罗斯;基础设施投资;最优规模;经济增长;
【基金项目】教育部人文社会科学重点研究基地重大项目《“入盟”对东欧国家经济政治转型的影响》(项目编号:11JJD810023)和《转型国家政治民主化理论与实践比较研究——基于中东欧独联体国家转型视角》(项目编号:12JJD810012)。
【作者简介】周亚静,辽宁大学国际关系学院硕士研究生。
一 引言
基础设施作为社会生产和人们生活不可或缺的基础性条件,对经济增长有着重要影响。一方面,作为投资的重要组成部分,基础设施投资构成了GDP的重要来源,其本身所创造的产出的增加会直接引起经济总量的增加,而且,这种直接推动作用会随着经济规模的扩大而凸显。另一方面,基础设施投资也会间接地影响经济的其他方面,如降低企业成本、促进产业结构升级和提高结构效益以及促进贸易流通、提高贸易竞争力等[1],进而对经济增长产生重要的影响。尤其在经济衰退时期,政府通过加大基础设施投资力度,不但可以改善宏观经济运行环境,还可以直接促进经济增长。相反,如果基础设施投资不足则会对经济增长产生抑制作用,这主要表现在两个方面:一是基础设施投资总量不足,会引起服务功能减弱,影响社会生产和生活,制约经济增长;二是基础设施投资结构不合理,无法满足经济资源合理配置的要求[2]。
俄罗斯在向市场经济转轨之后,经历了20世纪90年代严重的经济衰退,21世纪初才步入较快的经济增长周期,2000~2008年其GDP年均增幅达7%[3]。国际金融危机后,俄罗斯经济在3年时间里以较快的增速恢复到危机前的水平。但是,自2012年第三季度起,俄罗斯经济增幅逐步放缓,2013年GDP增长率仅为1.3%,2014年俄罗斯遭到西方经济制裁,预计经济增长率仅为0.5%左右。如何扭转经济增长的困境,使其步入较快的增长轨道,成为近期俄罗斯乃至中国相关研究领域极为关注的问题。
俄罗斯经济增长的困境与其畸形的经济增长结构及增长模式直接相关。一方面,俄罗斯经济严重依赖外需,能源原材料出口成为其经济增长的主要动力。在外部市场疲软、外需不足或者能源原材料价格下跌的情况下,其经济增长速度会迅速波动并下挫。另一方面,俄罗斯经济增长结构也存在明显的不合理性,GDP构成中的投资比重一直较低,2000~2013年年均为22%,明显低于同为“金砖国家”的中国和印度的投资水平[4]。在投资中,基础设施投资是主要部分,其规模是否合理是影响投资的重要因素。那么,俄罗斯的基础设施投资规模是否存在不足并进而影响了总投资呢?这是本文通过实证分析试图解答的主要问题。
二 俄罗斯基础设施投资概况
所谓基础设施,大部分研究是以1994年世界银行的发展报告《为发展提供基础设施》中的定义为标准。它主要分成三个部分:一是公用事业类设施,如电力、电讯、自来水、环卫及污水处理、固定废弃物处理和煤气管道;二是公共工程类设施,如公路、大坝、灌溉和排水渠道;三是其他交通类设施,如城市及城际铁路、市内交通、港口及航道、机场[5]。本文研究对象选择的是基础设施投资中政府投资占主导地位的部分,包括交通运输、电力生产供应、邮电、教育和科学研究,以此来测算俄罗斯基础设施投资的最优规模。
(一)俄罗斯基础设施投资的发展
基础设施的发展与投资规模密切相关,投资规模的大小是影响基础设施发展的关键因素。基础设施投资是指基础设施产业投入的各种资金和要素。由于受统计资料的限制,本文以基础设施相关产业的固定资产投资代表基础设施投资来进行分析。经济转轨之后,俄罗斯基础设施投资总额和固定资产投资总额[6]大体经历了三个阶段(见图1):转轨初期的急剧下降,普京执政时期的大幅增长以及国际金融危机后的急剧下降又缓慢上升。其中,固定资产投资额的变化比基础设施投资额的变化趋势更加明显。对比基础设施投资变化和俄罗斯的经济形势,可以看出两者存在一定的正相关性(见图3)。1991年基础设施投资额为0.29亿卢布,固定资产投资额为2.1亿卢布。1992年基础设施投资额下降10.3%,同期的固定资产投资额下降45%[7]。
图1 1991~2013年俄罗斯实际固定资产投资额和实际基础设施投资额变化趋势(单位:亿卢布)
注:本文所用的数据是运用GDP平减指数剔除了通胀的真实数据。资料来源:1992~2014年《俄罗斯统计年鉴》和《数字俄罗斯》。
此后,固定资产投资额逐年下降,至2004年才恢复到1991年的水平。普京执政后,基础设施和固定资产投资额总体呈现上升的趋势,到2013年基础设施投资额为4.83亿卢布(以当年币值计算)、固定资产投资额为12.8万亿卢布(以当年币值计算),占GDP的比重分别为7.1%和19.2%。基础设施投资占固定资产投资的比重也呈上升趋势(见图2),而且基础设施投资年增长率与固定资产投资年增长率呈现一定的正相关性(见图4)。
图2 1991~2013年俄罗斯基础设施投资占固定资产投资比重(%)
资料来源:同图1。
图3 1992~2013年俄罗斯实际GDP增长率变化趋势(%)
资料来源:同图1。
图4 1992~2012年俄罗斯基础设施投资和固定资产投资的年增长率变化趋势(%)
资料来源:同图1。
(二)俄罗斯基础设施投资的构成
在基础设施投资规模不断变化的同时,其结构,即各行业占基础设施投资总额的比重也呈现此消彼长的态势(见图5)。其中,电力生产供应行业、通信和仓储业、交通运输业的投资占基础设施总投资的比重有所上升,分别从1991年的19.7%、4.1%和61.8%升至2013年的24.9%、6.1%和64.9%。具体来看,交通运输业、电力生产供应行业和通信业呈现先降后升的趋势,2000年之前处于下降阶段,普京执政之后总体呈现上升趋势。这是由于经济转轨初期独联体国家之间以及企业之间正常经济联系遭受严重破坏和运输组织工作本身混乱使得基础设施投资受到影响。普京上任后采取了一系列稳定经济的政策,逐步加大了投资力度,增加了对各行业基础设施的投资额。从投资比重来看,交通运输业所占比重最大,在60%左右,电力和通信行业所占比重平均为33%[8]。而教育科研基础设施投资所占比重呈明显下降趋势,由1991年的17.6%降至2013年的6.1%。这说明俄罗斯在20多年的时间里是以经济性基础设施投资为发展重心,这也符合俄罗斯的实际经济情况,即它基本上处于恢复性增长阶段。
图5 1991~2013年俄罗斯各行业基础设施投资占基础设施投资总额比重的变化趋势(%)
资料来源:同图1。
三 俄罗斯基础设施投资最优规模的实证分析
所谓基础设施投资最优规模,是基于经济增长最大化的标准衡量的。自20世纪80~90年代开始,一些国外学者研究了基础设施最优投资规模的理论模型,这些研究大多基于巴罗模型、拉姆齐最优政府支出、代际均衡模型以及包含区域内贸易和人员流动的两区域经济模型,通过最优增长模型推导出简化的最优投资条件,即私人资本和公共资本边际产出相等,以判断基础设施投资规模是否达到最优。应当说,有关的理论和实证研究相对比较成熟。本文借鉴了相关的模型和理论推导,对俄罗斯的基础设施投资最优规模进行检验。
(一)模型的提出和数据的选取
1.模型的提出
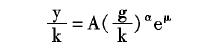
巴罗模型将生产性政府支出解释为政府通过购买公共物品和服务对私人部门的生产产生影响。当 1单位的政府消费使产出刚好增加1单位时,政府提供的服务是最优的; 如果产出的增加多于或少于1单位,则表明政府提供的服务过多或不够。根据巴罗模型的理论,我们引入道格拉斯函数建立如下模型:
两边取对数有
表示单位资本的产出,
表示单位资本的基础设施投资量,参数 A表示广义技术进步水平,且 A>0,参数α表示总产出关于基础设施投资的弹性,并且0≤α≤1 ,参数μ表示随机误差项[9]。
考虑到基础设施具有时间上的不可分性、空间上的依附性和周期长等特征,在基本计量模型中引入滞后项,用以解释前期基础设施投资对当前经济增长的影响。建立如下自回归分布滞后模型[10]:
其中,
为滞后变量前的参数,称为长期或均衡的弹性,表示滞后变量变动一个百分比,被解释变量变动的百分比。模型中滞后期长度为m、n,关于模型滞后期的长度,在回归模型中根据滞后期前参数的显著性水平加以判断[11]。
2. 数据的选取
本文选取了俄罗斯1991~2013年的相关数据。模型中人均总产出(y)的数据采用俄罗斯GDP与俄罗斯人口总数的比值,人均资本(k)的数据采用俄罗斯社会固定资产投资总额与俄罗斯人口总数的比值,人均基础设施投资(g)的数据采用俄罗斯按行业划分的固定资产投资中电力和水力的生产供应业、铁路运输业、道路运输业、水上运输业、航空运输业、邮政业、电信和其他信息传输服务业、教育研究与试验发展投资的数据之和与俄罗斯人口总数的比值。
由于俄罗斯的通胀指数非常高,为了避免出现伪回归,通过采用GDP平减指数来消除物价因素对于数据的影响。根据《世界银行数据库》中的GDP平减指数,以1991年为基期,测算出各年的GDP平减指数,根据公式“实际
可以算出实际的GDP。同理,实际的固定资产投资额和基础设施投资额也都通过GDP平减指数来消除物价因素对其的影响。
(二)实证分析
1.平稳性检验
由于本文所选的数据是时间序列数据,在对模型进行估计之前需要进行平稳性检验以防出现虚假回归。平稳性检验常用的方法是单位根检验,分为ADF检验和DF检验。由于ADF检验与DF检验相比没有假定随机干扰项,是白噪声序列,可以检验更高阶的自回归过程,因此本文采用ADF检验数据的平稳性方俊智:《基础设施投资与经济增长的关系》,云南财经大学2010年硕士论文。(检验结果见表1)。
表1 ADF检验结果
| 变量 | ADF检验值 | 临界值(5%) | 采用检验的模型形式 | 结论 |
| In(y/k) | -0.570 854 | -1.957 204 | 模型1 | 非平稳 |
| ΔIn(y/k) | -3.644 675 | -3.012 363 | 模型3 | 平稳 |
| In(g/k) | -2.931 502 | -3.029 970 | 模型1 | 非平稳 |
| ΔIn(g/k) | -5.593 769 | -3.012 363 | 模型3 | 平稳 |
资料来源:李子奈、潘文卿:《计量经济学》,高等教育出版社2010年版,第270页。
表1中ΔIn(y/k)和ΔIn(g/k)表示变量的一阶差分。通过对比 ADF 检验值与显著性为5%的临界值可得出,ΔIn(y/k)和ΔIn(g/k)在水平条件下非平稳,但经过一阶差分后均成为平稳序列,因而是一阶单整序列 I(1),由于ΔIn(y/k)和ΔIn(g/k)都是单整序列,且单整阶数相同,所以ΔIn(y/k)和ΔIn(g/k)两序列之间可能存在协整关系。
2.协整性检验
通过对数据进行平稳性分析可以得出,两个变量之间是同阶单整序列I(1),所以用恩格尔和格兰杰提出的EG两步检验法践行协整检验(检验结果见表2)。
表2 恩格尔和格兰杰(Engle-Granger)检验结果表
| ADF检验值 | 临界值(5%) | |
| 残差序列e | -1.856 317 | -1.608 175 |
检验结果显示,残差项序列在 5%的显著性水平下拒绝原假设,接受不存在单位根,因此可以确定残差项是平稳序列,由此说明该模型单位资本的产出和单位资本的基础设施存量之间存在长期稳定的均衡关系,可对所建立的方程进行回归分析。
3.参数估计
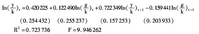
采用逐步回归的方法,逐期将滞后变量引入模型,通过运用普通最小二乘法回归后判断滞后变量前参数的t统计量与临界值的比较,决定引入滞后变量的期数。经过分析,得出应当在计量模型中引入一期滞后被解释变量和一期滞后解释变量,具体回归的结果如下。
由于方程中引入了滞后变量,因此计量模型可能存在序列相关性。同时,由于模型采用的是时间序列数据,通常不存在异方差性。下面对模型中是否存在序列相关性进行检验。
4.序列相关性检验
序列相关性是指计量模型中随机干扰项之间出现相关性。序列相关性带来的后果是参数估计量非有效,变量的显著性检验失去意义和模型的预测失效。检验序列相关性的方法有图示法、回归检验法、杜宾—瓦森法和拉格朗日乘数法等。由于模型中存在滞后被解释变量,因此,模型中提供的D.W.值失效。本文采用拉格朗日乘数法对序列相关性进行检验。
对已回归的模型取一阶滞后进行拉格朗日乘数法检验,得出辅助回归模型的LM统计值为3.546 533,小于x2(1)分布的临界值,说明不存在一阶自相关性,也说明模型不存在序列相关性。
(三)结论
1.俄罗斯基础设施投资最优规模值
根据模型的回归结果,可以得知解释变量前的系数为0.122 49,也就是俄罗斯基础设施投资的产出弹性约为12.25%。由巴罗模型可以推出,当基础设施投资占GDP的比重等于基础设施的产出弹性时,经济增长的速度最快,因此,俄罗斯基础设施投资的最优规模是基础设施投资额占GDP的12.25%。
2.基础设施最优投资规模与实际投资规模的比较
图6清晰地显示了1991~2013年俄罗斯基础设施投资的实际规模与其最优投资规模的差距。其中,横轴代表年份,纵轴代表基础设施投资占GDP的比重,线表示俄罗斯基础设施投资的最优规模,线表示基础设施投资占GDP的平均比重。由图示可以看出,虽然俄罗斯基础设施投资占GDP的比重大体呈现逐年增长的趋势,但是其平均值仍然没有达到基础设施投资最优规模的一半。这说明,仅基础设施投资这一项还有很大的增长空间,扩大其投资规模以拉动投资对经济增长的贡献的潜力仍然很大。
图6 1991~2013年俄罗斯基础设施投资最优规模与实际投资规模的比较

资料来源:根据1992~2014年《俄罗斯统计年鉴》和《数字俄罗斯》计算得出。
四 成因分析与政策建议
(一)俄罗斯基础设施投资不足的原因
自苏联解体、俄罗斯实行“休克疗法”之后,俄罗斯基础设施投资不足的情形就一直存在,其中既有主观原因也有客观原因。
1.在转型过程中投资主体缺失
基础设施投资的主体一般由政府充当,但在经济转型初期俄罗斯政府的主要精力放在了建立市场经济体系乃至“去政府化”改革上,基础设施投资或者可以说投资被放在次要的地位。在这种情况下,基础设施投资主体由政府转变成企业,出现投资主体缺位的现象。在经济转轨初期,政府实施紧缩的财政政策,缩紧银根,国家财政投资锐减,从而对于生产性投资的力度大大减少。与此同时,已经私有化的企业还没有建立现代企业制度,管理水平落后、产品滞销、利润率低、自身积累不足,很难通过金融市场进行融资,没有政府的财政支持,企业很难有资金进行投资。
进入21世纪,随着俄罗斯经济步入快速增长轨道,基础设施投资不足的弊端暴露出来,加大基础设施投资的必要性和重要性凸显,政府于是将注意力转到这一工作中来。
表3 2000~2013年俄罗斯GDP构成(%)
| 年份 | 最终消费 | 总积累 | 固定资产总积累 | 净出口 |
| 2000 | 61.3 | 18.6 | 16.9 | 20.1 |
| 2001 | 65.5 | 21.9 | 18.8 | 12.6 |
| 2002 | 69.0 | 20.1 | 18.0 | 10.9 |
| 2003 | 68.0 | 20.7 | 18.3 | 11.3 |
| 2004 | 66.3 | 21.2 | 18.7 | 12.5 |
| 2005 | 66.3 | 20.1 | 17.7 | 13.6 |
| 2006 | 66.1 | 21.2 | 18.5 | 12.7 |
| 2007 | 66.8 | 24.4 | 21.2 | 8.8 |
| 2008 | 65.9 | 25.1 | 22.0 | 9.0 |
| 2009 | 74.1 | 18.6 | 21.7 | 7.3 |
| 2010 | 69.6 | 22.3 | 21.3 | 8.1 |
| 2011 | 66.8 | 24.7 | 21.2 | 8.5 |
| 2012 | 68.4 | 24.3 | 21.7 | 7.3 |
| 2013 | 71.5 | 22.6 | 21.5 | 5.9 |
资料来源:根据2001~2014年《俄罗斯统计年鉴》和《数字俄罗斯》计算得出。
2.消费型增长模式使然
俄罗斯基础设施投资不足以及整体投资需求不足是其经济转型以来形成的消费型增长模式的必然结果。
俄罗斯在经济转型后逐渐走上了以消费和出口为主要拉动的经济增长模式之路,消费占GDP的比重最终逼近70%,已经相当于美国等发达国家的水平。一方面,这是其经济发展、产业结构升级的必然结果,经济转型后俄罗斯第三产业(服务业)的占比不断扩大,促进居民消费需求不断提高。另一方面,这也是俄罗斯经济转型期间严重的经济衰退、“去工业化”导致的非正常结果[12]。而持续的高通胀率及其导致的预期又在很大程度上刺激居民消费而不是储蓄,消费,特别是居民消费成为拉动俄罗斯经济增长的主要引擎。
3.投资的资金来源不足
从投资的主体——政府和企业两方面看,其在转型期间都经历了投资资金不足的问题。俄罗斯自转型之后政府财务状况一直恶化,这在很大程度上制约了国家的投资能力(见表4)。这种情况自普京执政之后才出现了一定的好转,1999~2008年俄罗斯经济实现10年的连续稳定增长。在企业层面,俄经济转型以来持续高企的通胀率严重阻碍了企业的投资积极性;在吸引外资方面,由于投资环境较差,加之政府对投资领域的诸多限制,导致俄罗斯在引进外资方面乏善可陈。上述原因致使俄罗斯投资的资金缺口巨大,成为遏制投资需求增长的主要因素。
表4 俄罗斯转轨期间财政状况分析(单位:卢布)
| 年份 | 1992
(万亿) | 1993
(万亿) | 1994
(万亿) | 1995
(万亿) | 1996
(万亿) | 1997
(万亿) | 1998
(亿) | 1999
(亿) | 2000
(亿) |
| 财政收入 | 28.0 | 29.1 | 28.2 | 28.4 | 26.0 | 28.7 | 251.0 | 255.0 | 294.0 |
| 财政支出 | 31.4 | 33.6 | 37.7 | 31.6 | 30.4 | 33.9 | 307.0 | 264.0 | 265.0 |
| 财政赤字 | 3.4 | 4.5 | 9.5 | 3.2 | 4.4 | 5.2 | 56.0 | 9.0 | -29.0 |
注:俄于1998年开始使用新卢布,1新卢布=1 000旧卢布。
资料来源:《数字俄罗斯(2000)》,第28页;《数字俄罗斯(2001)》,第29页。
4.基础设施投资的行业限制
与其他行业相比,基础设施是一个处于间接地位的“基础”性部门,是其他行业发展的基础,应该先行发展。基础设施所需投资规模大,投资具有“不可分性”,即基础设施投资的规模比较大,而且基础设施之间相互联系、互为依存条件,缺一不可,必须同时建成才能发挥作用,因此一开始就需要有最低限度的大量投资作为初始资本。例如,交通和城市基础设施必须一次性的大规模投资,零星投资往往无效。此外,基础设施建设主要依靠政府投资,具有投资回收周期长、资本流动性较差、社会效益较高但直接效益低的特性。作为发展中国家,在资金不足的情况下,这些都会成为限制俄罗斯加大基础设施投资的因素。
(二) 政策建议
俄罗斯学术界和政府部门已经认识到加大基础设施建设对促进经济增长的作用。普京总统指出:“在俄罗斯当前的经济形势下,继续刺激消费是没有意义的,只能带来价格的增长,要想从经济增长下降的状态中走出来,需要增加在基础设施上的投入。”[13]笔者认为,俄罗斯应主要从以下四个方面着手改善其基础设施建设,以此加强投资对经济增长的拉动。
1.有侧重地加强政府在基础设施方面的投入
面对当前的经济增长困境,俄罗斯政府一方面需要加大基础设施的供给总量,以解决基础设施对经济发展的瓶颈作用(政府投资还可以起到引导民间和外资进入的风向标作用);另一方面,政府资金配置的优先顺序应该与国家的经济和社会发展战略相适应。鉴于俄罗斯当前的经济形势,应该优先加大对交通运输业的投入。作为世界上最大的原油生产国和出口国,交通运输在俄贸易中起着重要的作用。发展交通基础设施要尽可能地发挥俄罗斯的过境运输潜力,侧重建设服务于国内流通和对外连接的国际运输走廊以及航空和铁路枢纽。西伯利亚铁路作为连接欧洲和太平洋的铁路大动脉,应加大对其投资力度并升级其设施,这对于发挥俄罗斯的地缘政治优势有着重要的作用。而且,北极圈海域冰川的不断融化,使得大规模开发经北冰洋、部分太平洋连接欧洲和远东的北方航道成为可能。另外,俄罗斯应该加强对教育和科研的投资。从前面的分析可以看出,俄在经济转轨之后,投入到教育和科研中的费用大幅减少,在过去10年间科研经费减少80%多,科研人员减少2/3,科研固定资产减少70%[14]。为了摆脱资源依赖型经济增长,实现技术进步和科学创新,俄政府加大对教育和科研的基础设施投资是十分必要的。
2.在加强外资引进的基础上实现融资渠道的多元化
针对俄罗斯资金不足的情况,政府可以吸引外资和企业投资等方式来筹集资金。普京执政后,虽然俄罗斯吸引外资的规模急剧扩大,由1995年的29.93亿美元升至2011年的1 906亿美元,扩大近63倍[15],但存在外资质量不高、结构失衡的问题。其中固定资产投资中,外国投资占比由2000年的1.5%升至2005年的8.2%,到2011年又降至7.6%[16]。俄罗斯加入WTO,对于其外资引入是一个积极的信号,为基础设施领域利用外资创造了良好的条件,俄应该充分利用这种优势改善投资环境,吸引外资流入,提高外商直接投资基础设施的比重。政府还可以通过给予企业特许经营权、融资租赁、降低企业税收、立法保护等措施吸引私人投资生产性基础设施和公共服务性基础设施。
3.加大对远东和西伯利亚地区基础设施的投资
远东和西伯利亚地区自然资源丰富,有广阔的经济开发前景,但是,由于基础设施严重落后,该地区经济发展滞后,是俄罗斯最不发达的地区之一。近些年,俄罗斯政府提高了对这一地区的重视程度,采取了一些前所未有的旨在加强远东和西伯利亚地区开发建设的措施,如专门成立远东发展部及积极主办APEC会议等,极大地推动了该地区的经济发展。当前,在俄罗斯面临西方制裁和孤立的形势下,加强同中国等亚太国家的经济合作成为拉动俄罗斯经济的重要引擎,在此背景下,远东和西伯利亚地区的战略意义更加凸显。笔者认为,加大远东和西伯利亚地区的基础设施投资是该地区发展的关键。为此,俄罗斯应当积极促进与中国、日本、韩国等在基础设施建设中的合作,以投资促贸易,全面提升该地区的经济发展,进而拉动俄罗斯总体经济增长。
4.借鉴法德等先进国家建设基础设施的成功经验
法德两国在基础设施投资建设方面形成了比较有效的投融资政策和价格政策,值得借鉴。除了以政府为投资主体吸引企业和外资进入之外,政府更要重视基础设施建设的前期工作,应该坚持统一规划,尤其是中长期规划,不能盲目地拼凑项目,应该集中精力对其进行研究、评估和论证。在价格政策上,以成本为基础制定价格。由于法德两国政府曾饱受巨额财政补贴的困扰,经过几十年的实践与探索,目前两国在制定价格时都强调以成本为依据。对于供水、供电、供气等经营性的行业,其销售价格基本定位在保本微利的水平上;对于非经营性的行业,政府也努力使价格与成本靠近。这些经验都值得俄罗斯借鉴。
注释:
[1]刘伦武:《基础设施投资对经济增长的推动作用分析》,江西财经大学2003年博士论文。
[2]同[1]。
[3]根据《俄罗斯统计年鉴(2010年)》数据计算得出。
[4]2000~2013年,中国、印度年投资额占GDP的比重平均为50.14%和34.69%。
[5]刘阳、秦凤鸣:《基础设施规模与经济增长——基于需求角度的分析》,《世界经济》2009年第5期。
[6]由于俄罗斯的通胀比较严重,为了能进行准确分析,本文采用的数值剔除了物价影响因素。
[7]根据《世界统计年鉴(1993年)》数据计算得出。
[8]根据俄罗斯联邦国家统计局各年数据计算得出。
[9]方俊智:《基础设施投资与经济增长的关系》,云南财经大学2010年硕士论文。
[10]同[9]。
[11]同[9]。
[12]程伟、殷红:《俄罗斯产业结构演变研究》,《俄罗斯中亚东欧研究》2009年第1期。
[13]《俄罗斯将向基础设施投资倾斜》,http://radiovr.com.cn/2013_01_22/101932732/
[14]李作双:《俄罗斯经济现代化研究》,辽宁大学2010年博士论文。
[15]李新、蒋君仙:《俄罗斯投资环境:现状与改善措施》,《学习与探索》2013年第2期。
[16]俄罗斯联邦国家统计局,http://www.gks.ru
(责任编辑:农雪梅)
版权所有:中国社会科学院俄罗斯东欧中亚研究所
地址:北京市张自忠路3号 邮编:100007 信箱:北京1103信箱
电话:(010) 64014006 传真:(010) 64014008 E-mail:Web-oys@cass.org.cn